ملتقى طلاب وطالبات جامعة الملك فيصل,جامعة الدمام

ملتقى طلاب وطالبات جامعة الملك فيصل,جامعة الدمام (https://vb.ckfu.org/)
-   منتدى كلية العلوم بالدمام (https://vb.ckfu.org/f62)
-   -   [ الفيزياء ] : تجمع طالبات قسم الفيزياء لجميع المستويات (https://vb.ckfu.org/t291680.html)

Alanod 2012- 4- 6 08:35 PM

رد: تجمع طالبات قسم الفيزياء لجميع المستويات
 
^^
الله يعــطيكـ الف عـــافيه جد ما قصرتي , بس عندي سؤال ..
من وين نطلع الـ c^2 ؟
ولما تطلب بأي سؤال طاقه حركيه بس هذي القوانين نكتبها صح ؟
:004:

wj3 2012- 4- 6 08:54 PM

رد: تجمع طالبات قسم الفيزياء لجميع المستويات
 
بنآت الفيز الله يسعدكم

الدكتورة سوسن طآلبة منآ نشرح درس عن
الموجات القسرية (الخامدة)
والموجات المضمحلة
ومعامل الجودة


اليي عنده فكرا عن هذا الشئ أو مراجع ...لآنه مو لاقيه شئ عنه لا ف النت ولا ف الكتب ...تكفون ساعدوني :(

فيزيائية طموحة 2012- 4- 6 09:12 PM

رد: تجمع طالبات قسم الفيزياء لجميع المستويات
 
اقتباس:

المشاركة الأصلية كتبت بواسطة Alanod (المشاركة 6112842)
^^
الله يعــطيكـ الف عـــافيه جد ما قصرتي , بس عندي سؤال ..
من وين نطلع الـ c^2 ؟
ولما تطلب بأي سؤال طاقه حركيه بس هذي القوانين نكتبها صح ؟
:004:

الله يعافيك هذا واجبنا :004::004:

c = سرعة الضوء = 8^10*3 هي نفسها في القانونين <<< ال c بالصمول وأنا كاتبها بردي اللي قبل كبيتل وجاري التعديل

إذا كان المطلوب الطاقة الحركية نفس القانون الأول تستخدمينه بحيث انه الطاقة الكلية تكون معطاه في المسألة أو توجدينها من القانون الثاني
أو
إذا كانت سرعة الجسم معطاه V توجدينها من هالقانون

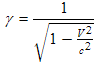
K = m0C^2 (g-1)
<<< g أقصد فيها جاما بس مو موجودة في الكيبورد
حيث

http://t3.gstatic.com/images?q=tbn:A...i1_XsLvFaaCRDF

<<< استخدمنا جاما بدل كي عشان لايصير نفس رمز الطاقة الحركية

ــــــــــــــــــــــــــــــــــــــــــــــــــ ــــــــــــــ

وفيه قانون بعد للطاقة الكلية ممكن تضيفينه وهو بدلالة كمية الحركة

E = Pc

وإن شاء الله ماأكون ناسية شي وحاولي تقرين النظري عشان تثبت القوانين وتعرفين كيف جت

وأي سؤال أنا حاضرة :119::106:

فيزيائية طموحة 2012- 4- 6 09:47 PM

رد: تجمع طالبات قسم الفيزياء لجميع المستويات
 
اقتباس:

المشاركة الأصلية كتبت بواسطة wj3 (المشاركة 6112933)
بنآت الفيز الله يسعدكم

الدكتورة سوسن طآلبة منآ نشرح درس عن
الموجات القسرية (الخامدة)
والموجات المضمحلة
ومعامل الجودة


اليي عنده فكرا عن هذا الشئ أو مراجع ...لآنه مو لاقيه شئ عنه لا ف النت ولا ف الكتب ...تكفون ساعدوني :(

وإياك إن شاء الله

المشكلة ماعندي أساس في هالمادة أحس منهجنا غير الناس :(177):

بس عندي مرجع عن الموجات وشفت الفهرس حقه فيه عن الإهتزازات القسرية والإضمحلال فما ادري هو نفسه اللي تبيه الدكتورة أو لا

بس معامل الجودة ماحصلته وأول مرة أسمع فيه

عالعموم اسم المرجع اللي عندي :

الإهتزازات والموجات في الفيزياء
تأليف : إيان .ج. مين <<< كذا مكتوب اسمه
ترجمة الدكتور حمد بن عبد الله الهندي والدكتور عادل مجذوب حسيب

وممكن تستفيدين من ردي اللي قبل على اختك نداء الروح

اقتباس:

المشاركة الأصلية كتبت بواسطة فيزيائية طموحة (المشاركة 6112481)
هلا فيك

موقع http://www.ckfu.org/vb/images/avatar.../%28107%29.gif

أحس هالمادة وأمثالها أبدا مو ماخذة حقها في النت بس ممكن تستفيدين من منتدى الفيزياء التعليمي وإذا انتي شاطرة بالإنجليزي دوري وإن شاء الله تحصلين

وهذا ترجمة فصل من كتاب سيرويه يمكن تستفيدين منه

http://www.mediafire.com/?1qk3io54i45d8oo

من هنا حملي الجزء الثاني من كتاب بوش

http://www.sps.org.sa/booksandmagazi...lt.aspx?cid=18

اضغطي على السهم اللي جنب كل جزء و يتحمل وإذا ماضبط معاك على طول اضغطي زر الماوس اليمين و اختاري حفظ بإسم

<<< المشكلة منهجكم يختلف عن اللي درسناه :139:

بالتوفيق إن شاء الله :004::004::004::004::004:



وإن شاء الله البنات يفيدونك أكثر مني

بالتوفيق إن شاء الله :004::004::004:

فيزيائية طموحة 2012- 4- 6 10:43 PM

رد: تجمع طالبات قسم الفيزياء لجميع المستويات
 
سيتم تأجيل المشروع

شكرا لأختي وردة وأختي نداء على ردهم على سؤالي :004::004::004:

ولكن ...

بيتأجل المشروع إن شاء الله إلى الأسبوع اللي بعده تاريخ 9/6/1433 لأن فيه وحدة حضورها مهم جدا :004::004::004:وماتقدر تحضر في 2/6
وإن شاء الله ما أحد يحط اختبار في هالتاريخ خصوصا بساعة النشاط

هذا كلام مبدأي أنا قلته ماكلمنا الدكتورة المشرفة على التاريخ قلت اشوف اول يناسبكم أو لا

إن شاء الله الكل يناسبه هالتاريخ وان شاء الله خلال الأسبوع الجاي نحاول نشطب على كل شي

بالتوفيق إن شاء الله :106::106:

الفيزياء 2012- 4- 7 04:30 AM

رد: تجمع طالبات قسم الفيزياء لجميع المستويات
 
لو سمحتوووو يألفيزيائيات أبي إسوي تجربه ممتعه و شيقه عن شئء يخص الفيزياء أما بالموجيات أو أي شيء بس يكون أقدر أأسويه مو معقد. طلبتكمممم :sm1:

فيزيائية طموحة 2012- 4- 7 12:39 PM

رد: تجمع طالبات قسم الفيزياء لجميع المستويات
 
^^^^

تجربة الفشار

تاخذين ثلاث أو أربع جوالات وتحطين حبات الفشار بينهم وتدقين على الجوالات بتلاقين ان الفشار انتفخ
وبيني لهم السبب في هالشي و موجودة هالتجربة في اليوتيوب

بالتوفيق إن شاء الله :004::004::004::004::004:

Alanod 2012- 4- 7 04:58 PM

رد: تجمع طالبات قسم الفيزياء لجميع المستويات
 
يعطيك الف عافيه فيزيائيه :004:

فيزيائية طموحة 2012- 4- 7 05:21 PM

رد: تجمع طالبات قسم الفيزياء لجميع المستويات
 
^^^^

الله يعافيك حبيبتي :004::004::004::004:

Angel sooul 2012- 4- 7 08:11 PM

رد: تجمع طالبات قسم الفيزياء لجميع المستويات
 
مســــــــــاء الخيـــــــــــر:rose:
بنــــــــــــات لو سمحتو في احد يعرف كيف ارسل الواجب عن طريق البلاك بورد
مع العلم ان الدكتوره ماحطت السؤال في الموقع قالت انتو اكتبوه وارسلوه لي
بس ماعرفت كيف:g2:


All times are GMT +3. الوقت الآن حسب توقيت السعودية: 07:59 AM.

Powered by vBulletin® Version 3.8.7, Copyright ©2000 - 2025, Jelsoft Enterprises Ltd.
Content Relevant URLs by vBSEO 3.6.1 جامعة الملك الفيصل,جامعة الدمام

Adsense Management by Losha

المواضيع والمشاركات في الملتقى تمثل اصحابها.
يوجد في الملتقى تطوير وبرمجيات خاصة حقوقها خاصة بالملتقى
ملتزمون بحذف اي مادة فيها انتهاك للحقوق الفكرية بشرط مراسلتنا من مالك المادة او وكيل عنه