ملتقى طلاب وطالبات جامعة الملك فيصل,جامعة الدمام

العودة   ملتقى طلاب وطالبات جامعة الملك فيصل,جامعة الدمام > ساحة طلاب وطالبات الإنتظام > ملتقى طلاب الانتظام جامعة الإمام عبدالرحمن (الدمام) > ملتقى كليات العلوم والأداب - جامعة الإمام عبدالرحمن > منتدى كلية الآداب بالدمام
التسجيل الكويزاتإضافة كويزمواعيد التسجيل التعليمـــات المجموعات  


منتدى كلية الآداب بالدمام منتدى كلية الآداب بالدمام ; مساحة للتعاون و تبادل الخبرات بين طالبات كلية الآداب بالدمام و نقل آخر الأخبار و المستجدات .

مثل شجرة4اعجاب
إضافة رد
 
LinkBack أدوات الموضوع
  #1  
قديم 2013- 5- 10
الصورة الرمزية senyorita
أكـاديـمـي ألـمـاسـي
بيانات الطالب:
الكلية: كلية الآداب بالدمام
الدراسة: انتظام
التخصص: GIS
المستوى: المستوى الخامس
بيانات الموضوع:
المشاهدات: 2777
المشاركـات: 17
 
الملف الشخصي:
رقم العضوية : 81333
تاريخ التسجيل: Mon Jul 2011
العمر: 33
المشاركات: 1,177
الـجنــس : أنـثـى
عدد الـنقـاط : 241
مؤشر المستوى: 72
senyorita has a spectacular aura aboutsenyorita has a spectacular aura aboutsenyorita has a spectacular aura about
 الأوسمة و جوائز  بيانات الاتصال بالعضو  اخر مواضيع العضو
senyorita غير متواجد حالياً
مهم .......للجيومورفولوجيا ( الرسومات)

سلام صبايا ..

معروف عن محمود ابو العينين انه يركز ع الرسومات .. و الأغلب ما رسمها اصلا

* عليها 20 درجة بالاختبار النهائي

المهم .. اللي عندها الرسومات كامله تحطها سكنر بليز
خوووخة معجب بهذا.
رد مع اقتباس
قديم 2013- 5- 10   #2
متميزه بملتقى كلية الاداب بالدمام
 
الصورة الرمزية خوووخة
الملف الشخصي:
رقم العضوية : 101528
تاريخ التسجيل: Wed Feb 2012
المشاركات: 1,289
الـجنــس : أنـثـى
عدد الـنقـاط : 107
مؤشر المستوى: 71
خوووخة will become famous soon enoughخوووخة will become famous soon enough
بيانات الطالب:
الكلية: كلية الاداب بالدمام
الدراسة: انتظام
التخصص: جغرافيــا
المستوى: المستوى السابع
 الأوسمة و جوائز  بيانات الاتصال بالعضو  اخر مواضيع العضو
خوووخة غير متواجد حالياً
رد: مهم .......للجيومورفولوجيا ( الرسومات)

وعليكم السلام

بنات اللي عندها اي رسمة تحطها حتى لو كانت ناقصة

خلونا نتعاون

وان شاء الله بنزل بعض الرسمات اللي رسمتها بعد ما اخلص اختبار
  رد مع اقتباس
قديم 2013- 5- 11   #3
أكـاديـمـي ألـمـاسـي
 
الصورة الرمزية senyorita
الملف الشخصي:
رقم العضوية : 81333
تاريخ التسجيل: Mon Jul 2011
العمر: 33
المشاركات: 1,177
الـجنــس : أنـثـى
عدد الـنقـاط : 241
مؤشر المستوى: 72
senyorita has a spectacular aura aboutsenyorita has a spectacular aura aboutsenyorita has a spectacular aura about
بيانات الطالب:
الكلية: كلية الآداب بالدمام
الدراسة: انتظام
التخصص: GIS
المستوى: المستوى الخامس
 الأوسمة و جوائز  بيانات الاتصال بالعضو  اخر مواضيع العضو
senyorita غير متواجد حالياً
رد: مهم .......للجيومورفولوجيا ( الرسومات)

good خوخه .. نزليها الله يعطيك العافيه
  رد مع اقتباس
قديم 2013- 5- 12   #4
أكـاديـمـي ألـمـاسـي
 
الصورة الرمزية senyorita
الملف الشخصي:
رقم العضوية : 81333
تاريخ التسجيل: Mon Jul 2011
العمر: 33
المشاركات: 1,177
الـجنــس : أنـثـى
عدد الـنقـاط : 241
مؤشر المستوى: 72
senyorita has a spectacular aura aboutsenyorita has a spectacular aura aboutsenyorita has a spectacular aura about
بيانات الطالب:
الكلية: كلية الآداب بالدمام
الدراسة: انتظام
التخصص: GIS
المستوى: المستوى الخامس
 الأوسمة و جوائز  بيانات الاتصال بالعضو  اخر مواضيع العضو
senyorita غير متواجد حالياً
رد: مهم .......للجيومورفولوجيا ( الرسومات)

؟؟؟
  رد مع اقتباس
قديم 2013- 5- 12   #5
أكـاديـمـي نــشـط
الملف الشخصي:
رقم العضوية : 140804
تاريخ التسجيل: Fri Apr 2013
المشاركات: 156
الـجنــس : أنـثـى
عدد الـنقـاط : 50
مؤشر المستوى: 55
مهذبة will become famous soon enough
بيانات الطالب:
الكلية: كلية الاداب بالدمام
الدراسة: انتظام
التخصص: جغرافيا
المستوى: المستوى الرابع
 الأوسمة و جوائز  بيانات الاتصال بالعضو  اخر مواضيع العضو
مهذبة غير متواجد حالياً
رد: مهم .......للجيومورفولوجيا ( الرسومات)

ـــ

التعديل الأخير تم بواسطة مهذبة ; 2013- 5- 12 الساعة 06:57 PM
  رد مع اقتباس
قديم 2013- 5- 12   #6
متميزه بملتقى كلية الاداب بالدمام
 
الصورة الرمزية خوووخة
الملف الشخصي:
رقم العضوية : 101528
تاريخ التسجيل: Wed Feb 2012
المشاركات: 1,289
الـجنــس : أنـثـى
عدد الـنقـاط : 107
مؤشر المستوى: 71
خوووخة will become famous soon enoughخوووخة will become famous soon enough
بيانات الطالب:
الكلية: كلية الاداب بالدمام
الدراسة: انتظام
التخصص: جغرافيــا
المستوى: المستوى السابع
 الأوسمة و جوائز  بيانات الاتصال بالعضو  اخر مواضيع العضو
خوووخة غير متواجد حالياً
رد: مهم .......للجيومورفولوجيا ( الرسومات)

آسفة عالتأخير انشغلت باختبارات العملي

الرسمات بالمرفقات بس ترى ما اظمن انها كاملة

فعشان كذا لو وحدة كمان تنزل رسماتها

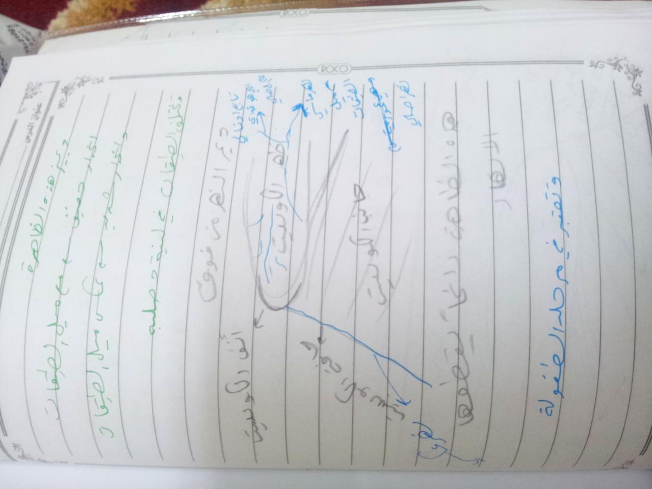
الرسمة اللي كأنها يد هذي اتوقع اسمها الدلتاوات الاصبعية والخطوط الحمراء اللي فيها هذي المخارج
الصور المصغرة للصور المرفقة
-%CC%ED%E6%E6%E4.jpg   -%CC%ED%E6-%DE%C8%E1-%CA%E6-%E6%CB%D1%ED.jpg   -%CC%ED%E6-%C8%DA%CF-%CA%E6-%E6%CB%D1%ED.jpg   -%CC%ED%E6-%CA%E6.jpg   -%CC%ED%E6-%CB%D1%ED.jpg  

-%CC%ED%E6-%C7%CE%ED%D1.jpg  
ĤЧoη=3 و فك وافك معجب بهذا.

التعديل الأخير تم بواسطة خوووخة ; 2013- 5- 12 الساعة 07:36 PM
  رد مع اقتباس
قديم 2013- 5- 12   #7
أكـاديـمـي نــشـط
 
الصورة الرمزية غلا الفلا
الملف الشخصي:
رقم العضوية : 58112
تاريخ التسجيل: Tue Aug 2010
العمر: 37
المشاركات: 161
الـجنــس : أنـثـى
عدد الـنقـاط : 50
مؤشر المستوى: 65
غلا الفلا will become famous soon enough
بيانات الطالب:
الكلية: جامعة الدمام
الدراسة: انتظام
التخصص: english
المستوى: المستوى الرابع
 الأوسمة و جوائز  بيانات الاتصال بالعضو  اخر مواضيع العضو
غلا الفلا غير متواجد حالياً
رد: مهم .......للجيومورفولوجيا ( الرسومات)

يعطيك العافيه
  رد مع اقتباس
قديم 2013- 5- 12   #8
أكـاديـمـي فـعّـال
الملف الشخصي:
رقم العضوية : 36945
تاريخ التسجيل: Sat Oct 2009
العمر: 36
المشاركات: 229
الـجنــس : أنـثـى
عدد الـنقـاط : 100
مؤشر المستوى: 70
كيكونه1 will become famous soon enoughكيكونه1 will become famous soon enough
بيانات الطالب:
الكلية: كلية الاداب بالدمام
الدراسة: انتظام
التخصص: جغرافيا
المستوى: المستوى الثالث
 الأوسمة و جوائز  بيانات الاتصال بالعضو  اخر مواضيع العضو
كيكونه1 غير متواجد حالياً
رد: مهم .......للجيومورفولوجيا ( الرسومات)

خوخه بعد عمري ماقصرتي بس حبيبتي اللي بمرحلة الطفوله هذي شيقال لها ؟

وآخر رسمه وش اسمها ؟


ويعطيك الف عافيه ربي يوفقك
  رد مع اقتباس
قديم 2013- 5- 12   #9
أكـاديـمـي
الملف الشخصي:
رقم العضوية : 97389
تاريخ التسجيل: Thu Dec 2011
المشاركات: 37
الـجنــس : أنـثـى
عدد الـنقـاط : 50
مؤشر المستوى: 0
فـوح will become famous soon enough
بيانات الطالب:
الكلية: كليه الاداب بالدمام
الدراسة: انتظام
التخصص: جغرافيا ونظم المعلومات الجغرافيه
المستوى: المستوى الرابع
 الأوسمة و جوائز  بيانات الاتصال بالعضو  اخر مواضيع العضو
فـوح غير متواجد حالياً
رد: مهم .......للجيومورفولوجيا ( الرسومات)

بنات اتوقع مع المحاضرات منزل رسماات
مهذبة معجب بهذا.
  رد مع اقتباس
قديم 2013- 5- 15   #10
أكـاديـمـي نــشـط
الملف الشخصي:
رقم العضوية : 140804
تاريخ التسجيل: Fri Apr 2013
المشاركات: 156
الـجنــس : أنـثـى
عدد الـنقـاط : 50
مؤشر المستوى: 55
مهذبة will become famous soon enough
بيانات الطالب:
الكلية: كلية الاداب بالدمام
الدراسة: انتظام
التخصص: جغرافيا
المستوى: المستوى الرابع
 الأوسمة و جوائز  بيانات الاتصال بالعضو  اخر مواضيع العضو
مهذبة غير متواجد حالياً
رد: مهم .......للجيومورفولوجيا ( الرسومات)

اقتباس:
المشاركة الأصلية كتبت بواسطة كيكونه1 مشاهدة المشاركة
خوخه بعد عمري ماقصرتي بس حبيبتي اللي بمرحلة الطفوله هذي شيقال لها ؟

وآخر رسمه وش اسمها ؟


ويعطيك الف عافيه ربي يوفقك

اللي مكتوب عليها مرحلة الطفولة هذي رسمة ظاهرة الكويستا

والرسمة الاخيرة ترى منزلها في وحدة من المحاضرات الاخيرة ارجعي لها

وبنات كمان ذاكروا رسمة الاسر النهري موجودة بالمحاضرات بعد


حبيت افيدك باللي اعرف

التعديل الأخير تم بواسطة مهذبة ; 2013- 5- 15 الساعة 07:25 PM
  رد مع اقتباس
إضافة رد

مواقع النشر (المفضلة)

« الموضوع السابق | الموضوع التالي »

الذين يشاهدون محتوى الموضوع الآن : 1 ( الأعضاء 0 والزوار 1)
 

تعليمات المشاركة
لا تستطيع إضافة مواضيع جديدة
لا تستطيع الرد على المواضيع
لا تستطيع إرفاق ملفات
لا تستطيع تعديل مشاركاتك

BB code is متاحة
كود [IMG] متاحة
كود HTML معطلة
Trackbacks are متاحة
Pingbacks are متاحة
Refbacks are متاحة


المواضيع المتشابهه
الموضوع كاتب الموضوع المنتدى مشاركات آخر مشاركة
كل الي عنده نظم .. خبر رائع لكم .. بالنسبة للمصطلحات .. تفضلوا هنا l a v e n d e r إدارة أعمال 3 96 2012- 11- 13 06:32 AM
افيدووني ضروووري ...قلبي يدق من الخوف ضووء القمر ارشيف المستوى 1 تربية خاصة 16 2011- 5- 24 10:38 PM
[ الأحياء ] : الدكتوره نوره الكعبي ~ بليييييييييز افيدووني . . . باربي الشرقيه منتدى كلية العلوم بالدمام 14 2011- 4- 23 12:04 PM
طيب وحناا > ممكن تفهموني عشق القصيد ملتقى طلاب التعليم عن بعد جامعة الملك فيصل 17 2011- 3- 8 08:55 PM
طيب وحناا ؟> الحقوو باطلاب عشق القصيد ملتقى طلاب التعليم عن بعد جامعة الملك فيصل 4 2011- 3- 7 07:55 PM


All times are GMT +3. الوقت الآن حسب توقيت السعودية: 10:33 AM.


Powered by vBulletin® Version 3.8.7, Copyright ©2000 - 2026, Jelsoft Enterprises Ltd.
Content Relevant URLs by vBSEO 3.6.1 جامعة الملك الفيصل,جامعة الدمام
Adsense Management by Losha
المواضيع والمشاركات في الملتقى تمثل اصحابها.
يوجد في الملتقى تطوير وبرمجيات خاصة حقوقها خاصة بالملتقى
ملتزمون بحذف اي مادة فيها انتهاك للحقوق الفكرية بشرط مراسلتنا من مالك المادة او وكيل عنه